The gendered impacts of perceived skin tone: Evidence from African-American siblings in 1870–1940
National Bureau of Economic Research, 2023
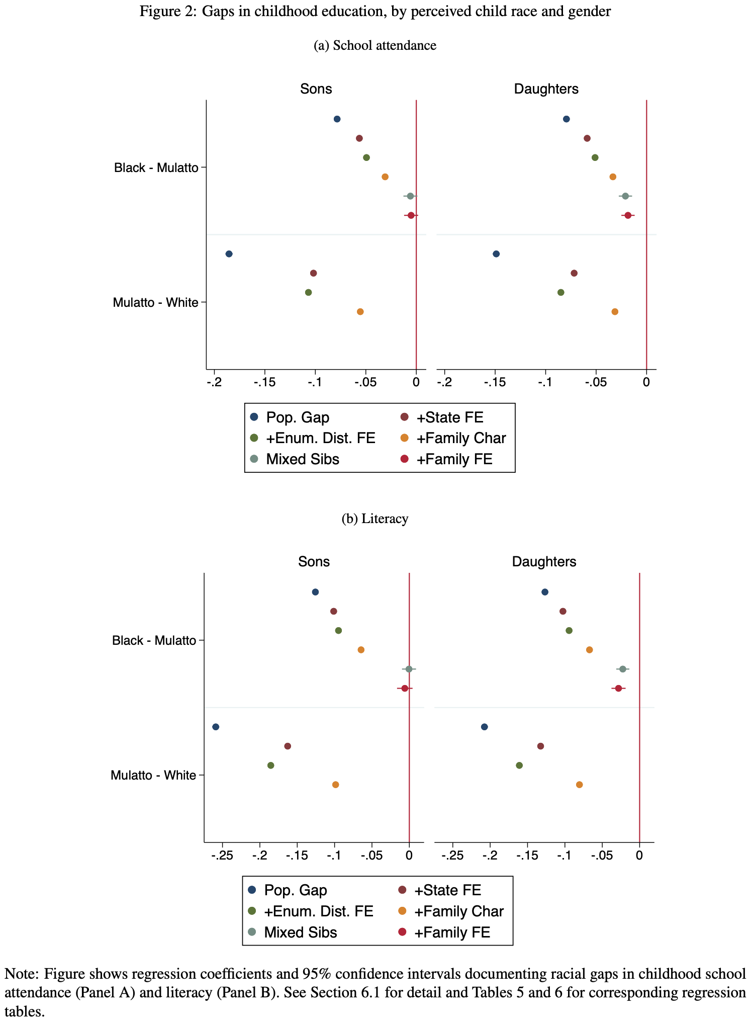
We study differences in economic outcomes by perceived skin tone among African Americans using full-count U.S. decennial census data from the late-19th and early-20th centuries. Comparing children coded as “Black” or “Mulatto” by census enumerators and linking these children across population censuses, we first document large gaps in educational attainment and income among African Americans with darker and lighter perceived skin tones. To disentangle the drivers of these gaps, we identify all 36,329 families in which enumerators assigned same-gender siblings different Black/Mulatto classifications. Relative to sisters coded as Mulatto, sisters coded as Black had lower educational attainment, were less likely to marry, and had lower-earning, less-educated husbands. These patterns are consistent with more severe contemporaneous discrimination against African American women with darker perceived skin tones. In contrast, we find similar educational attainment, marital outcomes, and incomes among differently-classified brothers. Men perceived as African Americans of any skin tone faced similar contemporaneous discrimination, consistent with the “one-drop” racial classification rule that grouped together individuals with any known Black ancestry. Lower incomes for African American men perceived as having darker skin tone in the general population were driven by differences in opportunities and resources that varied across families, likely reflecting the impacts of historical or family-level discrimination.

Abramitzky, R., Conway, J., Mill, R., Stein, L.C.D., 2023. The gendered impacts of perceived skin tone: Evidence from African-American siblings in 1870–1940 (Working Paper No. 31016). NBER.
National Bureau of Economic Research | PDF
