-
If I can make 5% of my three-point shots (likely optimistic) and they take 10 seconds each, what is the expected time I need to film before I make 4 in a row? h/t @daniel_egan (I was surprised by how non-trivial this is in closed form math.stackexchange.com/questions/364038/expected-number-of-coin-tosses-to-get-five-consecutive-heads ) @millerak42/1222349494756487173
-
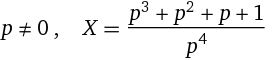
@daniel_egan Following the top solution at math.stackexchange.com/questions/364038/expected-number-of-coin-tosses-to-get-five-consecutive-heads gives X=(p^0)(1-p)(X+1)+(p^1)(1-p)(X+2)+(p^2)(1-p)(X+3)+(p^3)(1-p)(X+4)+(p^4)(4) which has a surprisingly nice simplification (thanks, @Wolfram_Alpha)! For p=5% this gives 168,420 shots ≈19.5 days of continuous shooting.🏀
-
@daniel_egan @Wolfram_Alpha One implication is… I need to improve my shooting or I’m going to spend a *lot* of time filming
lukestein’s Twitter Archive—№ 5,764
